Homepage Blank Wc 1 Georgia PDF Form
Content Overview

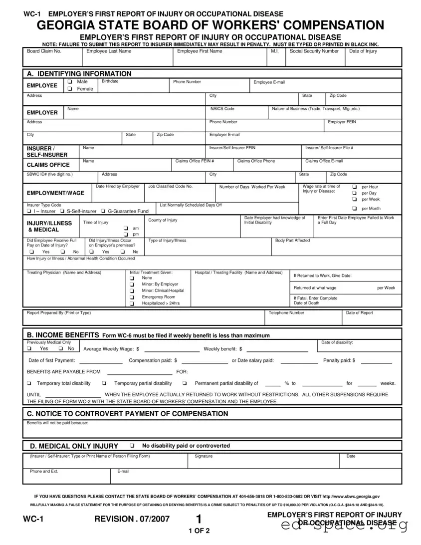
The WC-1 form, known as the Employer’s First Report of Injury or Occupational Disease, is a crucial document in the workers' compensation process in Georgia. This form must be completed promptly by employers following any workplace injury or occupational disease. It captures essential details such as the employee’s identifying information, the nature of the injury, and the circumstances surrounding it. Employers are required to submit this report to their insurance company or self-insurer claims office immediately upon knowledge of the injury, as delays can lead to penalties. The form also includes sections for reporting wage information and income benefits, ensuring that employees receive the compensation they are entitled to. Additionally, the WC-1 serves as a communication tool, informing both the insurer and the injured employee about the status of the claim. Understanding the WC-1 form is vital for employers, employees, and insurers alike, as it lays the groundwork for the subsequent steps in the workers' compensation process.

Document Preview

Form Specifications

Fact Name Details
Form Title Employer's First Report of Injury or Occupational Disease
Governing Law O.C.G.A. § 34-9-18 and § 34-9-19
Submission Requirement This form must be submitted immediately to the insurer or self-insurer.
Penalties Failure to submit the report may result in penalties.
Employee Information Includes employee's name, address, Social Security number, and date of injury.
Medical Treatment Initial treatment options must be indicated, including hospitalization details.

Wc 1 Georgia: Usage Guidelines

Filling out the WC-1 form is an important step in reporting an employee's injury or occupational disease in Georgia. It is essential to provide accurate information to ensure compliance with state regulations. The following steps will guide you through the process of completing this form correctly.

  1. Obtain the Form: Download or print the WC-1 form from the Georgia State Board of Workers’ Compensation website.
  2. Use Black Ink: Ensure that you fill out the form using black ink, either by typing or writing clearly.
  3. Section A - Identifying Information: Fill in the employee's last name, first name, middle initial, and Social Security number. Include the date of injury and the employee's address.
  4. Employer Information: Provide the employer's name, address, and other identifying details, including the NAICS code and FEIN.
  5. Claims Office Details: Enter the claims office information, including the SBWC ID number and contact details.
  6. Employment and Wage Information: Indicate the employee's wage rate, number of days worked per week, and any scheduled days off.
  7. Injury and Medical Details: Specify whether the employee received full pay on the date of injury and whether the injury occurred on the employer's premises. Provide details about the injury or illness, including the body part affected and the treating physician's information.
  8. Return to Work: If applicable, note the date the employee returned to work and at what wage.
  9. Report Prepared By: Include the name, telephone number, and date of the report preparer.
  10. Income Benefits: Fill out information regarding average weekly wage and any benefits payable.
  11. Notice to Controvert: If benefits will not be paid, provide the reason.
  12. Signature: The person filling out the form must sign and date it, providing contact information.

After completing the form, it must be submitted to the insurance company or self-insurer claims office immediately. Remember, failure to submit this report promptly may result in penalties. Keep a copy for your records, as it may be needed for future reference.

Your Questions, Answered

What is the WC-1 form in Georgia?

The WC-1 form, also known as the Employer's First Report of Injury or Occupational Disease, is a document that employers must complete when an employee suffers a work-related injury or illness. This form is essential for initiating the workers' compensation process and must be submitted to the employer's insurance company or self-insurer claims office promptly.

When should the WC-1 form be submitted?

The WC-1 form should be submitted immediately after the employer becomes aware of the injury or occupational disease. Timely reporting is crucial, as failure to do so may result in penalties for the employer. It is important to ensure that the form is filled out accurately and completely to avoid delays in processing the claim.

What information is required on the WC-1 form?

The WC-1 form requires detailed information about the employee, the employer, and the circumstances of the injury. This includes the employee's name, Social Security number, date of injury, nature of the injury, and details about the employer and insurance provider. Additionally, it asks for information regarding the employee's wage rate and whether they received full pay on the date of injury.

What happens if the injury is serious?

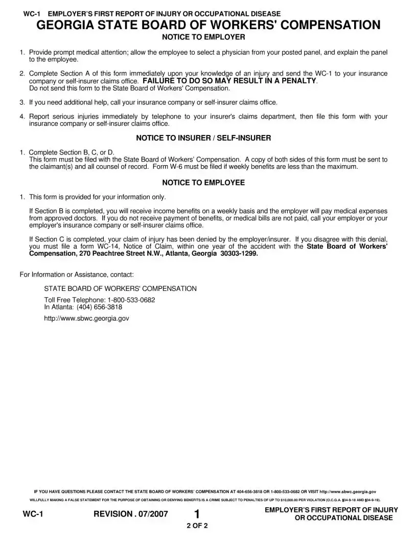
If the injury is serious, the employer must report it immediately to the insurer's claims department by telephone. Following this verbal report, the WC-1 form should be completed and sent to the insurance company or self-insurer claims office. This ensures that the employee receives the necessary medical attention and that the claim is processed without unnecessary delays.

What should employees know about the WC-1 form?

Employees should understand that the WC-1 form is primarily for their employer's use. If the form indicates that benefits will be provided, employees can expect to receive weekly income benefits and have their medical expenses covered by approved doctors. If the claim is denied, employees have the right to appeal the decision by filing a WC-14 form within one year of the incident.

What are the consequences of submitting false information on the WC-1 form?

Submitting false information on the WC-1 form is considered a serious offense. It is classified as a crime and can result in penalties of up to $10,000 per violation. Employers and employees alike should ensure that all information provided is truthful and accurate to avoid legal repercussions.

How does the WC-1 form relate to other forms in the workers' compensation process?

The WC-1 form is just the first step in the workers' compensation process. Depending on the circumstances, additional forms may be required. For example, if the weekly benefits are less than the maximum allowed, a WC-6 form must be filed. If there are disputes regarding the claim, the WC-14 form can be used to contest a denial.

Who should be contacted for questions regarding the WC-1 form?

If there are any questions or concerns about the WC-1 form or the workers' compensation process, it is advisable to contact the employer's insurance company or self-insurer claims office. Additionally, the State Board of Workers' Compensation can provide guidance and assistance in navigating the claims process.

What should employers do if they need assistance with the WC-1 form?

Employers needing assistance with the WC-1 form should reach out to their insurance company or self-insurer claims office. They can provide guidance on completing the form accurately and help ensure compliance with state regulations. Prompt communication is key to managing workers' compensation claims effectively.

Common mistakes

  1. Inaccurate Employee Information: Failing to provide correct details such as the employee's name, Social Security number, or birthdate can lead to delays or complications in processing the claim.

  2. Missing Injury Details: Not specifying the date, time, and nature of the injury can result in insufficient information for the insurer to assess the claim properly.

  3. Neglecting Employer Information: Omitting essential employer details, such as the employer's address or FEIN, may hinder the claim process.

  4. Incorrect Wage Reporting: Providing inaccurate wage information or failing to specify the wage rate at the time of injury can affect the calculation of benefits.

  5. Failure to Sign the Form: Not signing the form or having an authorized person sign can lead to the rejection of the claim.

  6. Submitting to the Wrong Entity: Sending the form to the State Board of Workers’ Compensation instead of the insurance company or self-insurer can cause unnecessary delays.

  7. Ignoring Submission Deadlines: Delaying the submission of the WC-1 form may result in penalties and complications in the claim process.

Documents used along the form

The WC-1 Georgia form is essential for reporting workplace injuries or occupational diseases. Several other forms and documents are often used in conjunction with the WC-1 to ensure proper handling of claims and benefits. Below is a list of these documents, along with a brief description of each.

  • WC-2: Notice of Suspension of Benefits - This form is filed when an employer or insurer suspends payment of benefits. It must be submitted to both the employee and the State Board of Workers' Compensation.
  • WC-6: Wage Statement - Used to report the employee's average weekly wage. This form is necessary if the weekly benefit is less than the maximum allowed.
  • WC-14: Notice of Claim - This form allows an employee to formally dispute a denial of benefits. It must be filed within one year of the injury.
  • WC-3: Employer's Report of Injury - This document provides additional details about the injury and is submitted to the State Board of Workers' Compensation.
  • WC-4: Employee's Claim for Benefits - The employee uses this form to initiate a claim for benefits after sustaining an injury at work.
  • WC-5: Medical Authorization Form - This form authorizes the release of medical records related to the employee's injury, allowing insurers to assess the claim accurately.

Using these forms correctly helps streamline the claims process and ensures that both employees and employers understand their rights and responsibilities. Accurate and timely submissions are crucial for the effective management of workers' compensation claims.

Similar forms

The WC-1 Georgia form serves as a crucial document for reporting workplace injuries or occupational diseases. Several other documents share similarities with the WC-1 in terms of purpose and required information. Below is a list of seven such documents, each explained in relation to the WC-1.

  • WC-2: Notice of Suspension of Benefits - This form is used to notify the employee and the State Board of Workers’ Compensation when benefits are suspended. Like the WC-1, it requires detailed information about the employee and the nature of the injury, ensuring transparency in communication.
  • WC-6: Employee's Claim for Weekly Benefits - Similar to the WC-1, the WC-6 is filed when an employee claims weekly benefits. It requires details about the injury and the employee’s average weekly wage, mirroring the WC-1's focus on compensation details.
  • WC-14: Notice of Claim - This form is filed when an employee disputes a denial of benefits. It parallels the WC-1 in its necessity for timely submission and the requirement for detailed information about the injury and the employer's response.
  • WC-3: Employer's Report of Injury - The WC-3 serves a similar purpose as the WC-1, as it documents the employer's perspective on the injury. Both forms require identifying information about the employee and the nature of the injury.
  • WC-4: Employee's Notice of Injury - This document allows employees to report their injuries directly to the State Board. Like the WC-1, it emphasizes the importance of timely reporting and includes similar identifying information about the employee and the injury.
  • WC-5: Medical Release Form - The WC-5 is essential for obtaining medical records related to the injury. It complements the WC-1 by ensuring that the necessary medical documentation is available to support the claim.
  • WC-7: Notice of Change in Condition - This form is used to report any changes in the employee's medical condition or ability to work. It shares the WC-1's focus on ongoing communication between the employer, employee, and insurer regarding the status of the claim.

Dos and Don'ts

When filling out the WC-1 Georgia form, it’s important to follow specific guidelines to ensure accuracy and compliance. Here are some dos and don’ts:

  • Do provide complete and accurate information in Section A, including the employee's name, Social Security number, and details about the injury.
  • Do submit the form immediately to your insurance company or self-insurer claims office to avoid penalties.
  • Do ensure the form is typed or printed in black ink for clarity.
  • Do report serious injuries by phone to the insurer's claims department before submitting the form.
  • Don’t send the form to the State Board of Workers’ Compensation; it must go directly to your insurer.
  • Don’t leave any sections blank; incomplete forms may cause delays or penalties.
  • Don’t provide false information; this is a serious offense that can lead to significant penalties.
  • Don’t forget to keep a copy of the completed form for your records.

Misconceptions

Understanding the WC-1 Georgia form is crucial for employers and employees involved in workplace injuries. However, several misconceptions can lead to confusion and mismanagement of claims. Below are seven common misconceptions about the WC-1 form:

  • Misconception 1: The WC-1 form must be submitted to the State Board of Workers’ Compensation.
  • This is incorrect. The WC-1 form should be sent directly to the insurance company or self-insurer claims office, not to the State Board.

  • Misconception 2: Only the employer is responsible for completing the WC-1 form.
  • While the employer initiates the report, the insurer or self-insurer must also complete relevant sections before submission.

  • Misconception 3: The WC-1 form is optional if the injury seems minor.
  • Submitting the form is mandatory regardless of the perceived severity of the injury. Failure to do so may result in penalties.

  • Misconception 4: The employee does not need to be informed about the WC-1 form.
  • Employers must inform employees about the WC-1 process, especially regarding their rights and the benefits they may receive.

  • Misconception 5: The WC-1 form can be filled out in any color ink.
  • The form must be typed or printed in black ink only, as per the guidelines provided.

  • Misconception 6: The form can be submitted at any time after an injury occurs.
  • Timely submission is critical. The employer must complete the form immediately upon knowledge of the injury.

  • Misconception 7: The WC-1 form is the only document required for a claim.
  • In some cases, additional forms such as the WC-6 or WC-14 may be necessary depending on the circumstances of the claim.

By addressing these misconceptions, employers and employees can better navigate the workers' compensation process in Georgia.

Key takeaways

Key Takeaways for the WC-1 Georgia Form:

  • Complete the form immediately upon knowledge of an injury to avoid penalties.
  • Ensure all information is typed or printed in black ink for clarity.
  • Submit the WC-1 to your insurance company or self-insurer claims office, not to the State Board of Workers’ Compensation.
  • Report serious injuries by telephone to the insurer's claims department before filing the form.
  • Employees should be informed of their rights regarding medical treatment and benefits.
  • Filing a false statement on this form can lead to severe penalties, including fines up to $10,000.