Homepage Blank Texas Rrp 120 PDF Form
Content Overview

The Texas RRP 120 form, known as the Offender Representation Summary Report, is a crucial document for attorneys who represent offenders before the Board of Pardons and Paroles, or the Parole Division of the Texas Department of Criminal Justice. This form is mandated by Texas Government Code Ann. 508.083, which stipulates that only licensed attorneys may represent offenders for compensation in these matters. The form requires attorneys to provide detailed information about their representation activities, including the names and identification numbers of offenders they have represented since January 1, 2006. Registrants must also disclose their relationships with any former members or employees of relevant boards, ensuring transparency in the representation process. Importantly, the completed form must be submitted to the Parole Division by January 31, 2007, along with any associated fee affidavits. By clearly outlining the necessary information, the RRP 120 form aims to maintain accountability and uphold the integrity of the legal representation system in Texas.

Document Preview

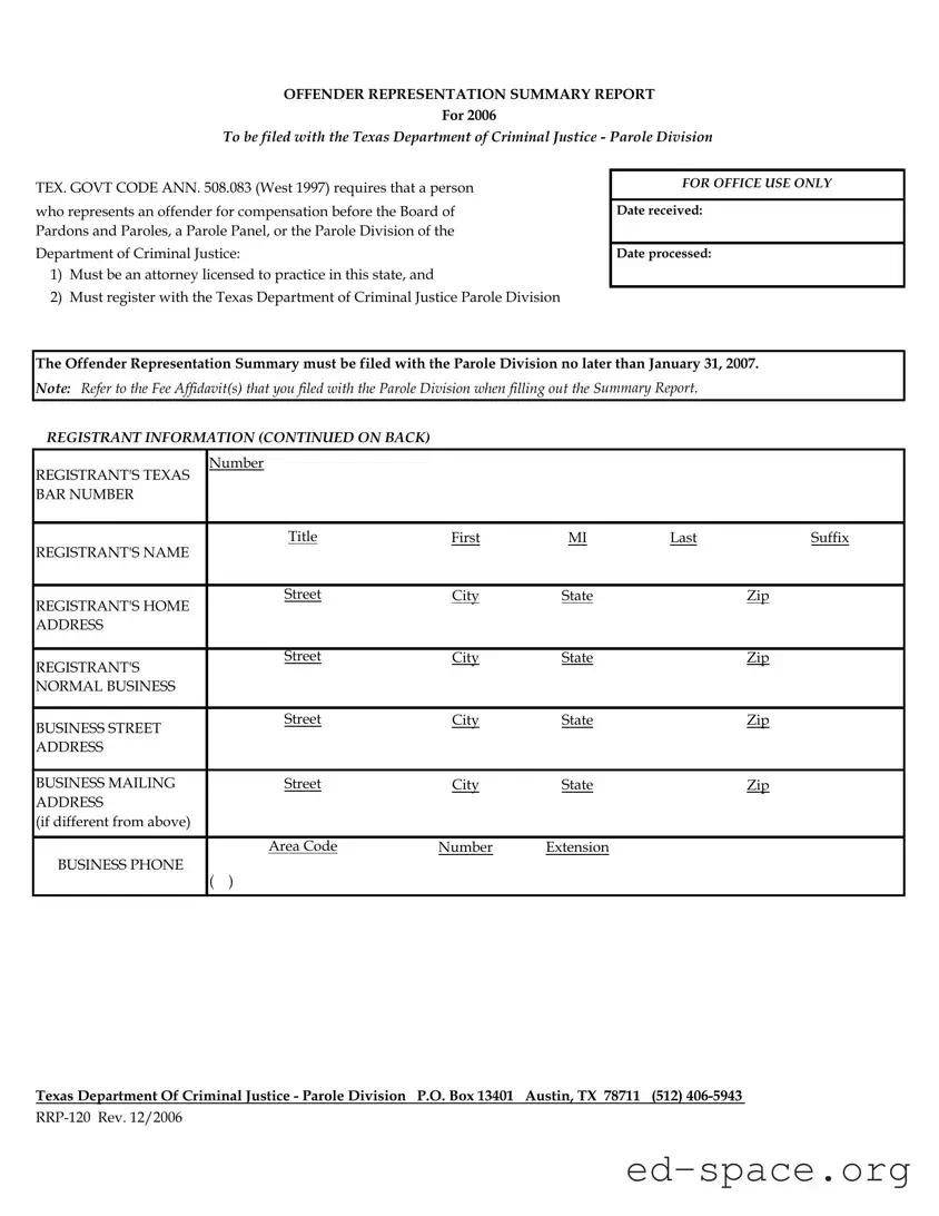
OFFENDER REPRESENTATION SUMMARY REPORT
For 2006
To be filed with the Texas Department of Criminal Justice - Parole Division
TEX. GOVT CODE ANN. 508.083 (West 1997) requires that a person
who represents an offender for compensation before the Board of
Pardons and Paroles, a Parole Panel, or the Parole Division of the
Department of Criminal Justice:
1) Must be an attorney licensed to practice in this state, and
2) Must register with the Texas Department of Criminal Justice Parole Division
The Offender Representation Summary must be filed with the Parole Division no lat
er than January 31, 2007.
Note: Refer to the Fee Affidavit(s) that you filed with the Parole Division when filling out the S
ummary Report.
FOR OFFICE USE ONLY
Date received:
Date processed:
REGISTRANT INFORMATION (CONTINUED ON BACK)
Number
REGISTRANT'S TEXAS
BAR NUMBER
Title
First MI Last Suffix
REGISTRANT'S NAME
REGISTRANT'S HOME
Street
City State Zip
ADDRESS
REGISTRANT'S
Street
Cit
y
State Zip
NORMAL BUSINESS
BUSINESS STREET
Street
City State Zip
ADDRESS
BUSINESS MAILING
Street
City State
Zip
ADDRESS
(if different from above)
Area Code
Number Extension
BUSINESS PHONE
( )
Texas Department Of Criminal Justice - Parole Division P.O. Box 13401 Austin, TX 78711 (512) 406-5943
RRP-120 Rev. 12/2006
Provide the full name of any former member or employee of the Board of Pardons and Paroles or the Texas Board
of Criminal Justice or former employee of the Texas Department of Criminal Justice with whom you are associated,
have a relationship as an employer or employee, or maintain a contractual relationship to provide services. Check
the information that applies to each individual.
Name of Individual
Individual's Status
Relationship to Registrant
former member of board
Board of Pardons and Paroles
associate
former employee Board of Criminal Justice
employer/employee
Texas Dept. of Criminal Justice
contractual relationship
to provide service
Name of Individual
Individual's Status
former member of board
former employee
Texas Dept. of Criminal Justice
Board of Pardons and Paroles
Board of Criminal Justice
Relationship to Registrant
employer/employee
contractual relationship
to provide service
associate
Name of Offender SID# PIA/TDCJ# COMPENSATION
Signature Date
Texas Department Of Criminal Justice - Parole Division P.O. Box 13401 Austin, TX 78711 (512) 406-5943
RRP-120 Rev. 12/2006
Offender Information: Provide information below for all offenders whom you represented for compensation since
January 1, 2006

Form Specifications

Fact Name Description
Form Purpose The Texas RRP 120 form is used to report representation of offenders before the Board of Pardons and Paroles.
Governing Law This form is governed by Texas Government Code Annotated § 508.083 (West 1997).
Filing Deadline The Offender Representation Summary must be submitted no later than January 31, 2007.
Attorney Requirement Only licensed attorneys in Texas can represent offenders for compensation before the relevant boards.
Registration Requirement Attorneys must register with the Texas Department of Criminal Justice Parole Division before representing offenders.
Contact Information For inquiries, contact the Texas Department of Criminal Justice - Parole Division at (512) 406-5943.
Offender Information Representatives must provide details of all offenders represented for compensation since January 1, 2006.

Texas Rrp 120: Usage Guidelines

The Texas RRP 120 form, known as the Offender Representation Summary Report, must be completed and submitted to the Texas Department of Criminal Justice - Parole Division. This form is required for individuals representing offenders for compensation before the Board of Pardons and Paroles. Below are the steps to accurately fill out the form.

  1. Obtain the form: Download or print the Texas RRP 120 form from the Texas Department of Criminal Justice website.
  2. Fill in registrant information: Enter your Texas Bar Number, title, first name, middle initial, last name, and suffix in the designated fields.
  3. Provide your home address: Input your street address, city, state, and zip code in the home address section.
  4. Enter your business address: Fill out your normal business street address, city, state, and zip code.
  5. Complete business mailing address: If different from the business address, provide the mailing address, including street, city, state, and zip code.
  6. List business phone number: Include your business phone number, area code, and extension if applicable.
  7. Detail relationships: For each individual associated with you, provide their name, status (former member or employee), and your relationship to them.
  8. Input offender information: List the names of all offenders you represented for compensation since January 1, 2006, along with their SID# and PIA/TDCJ#.
  9. Sign and date the form: Ensure you sign and date the form at the bottom before submission.
  10. Submit the form: Mail the completed form to the Texas Department of Criminal Justice - Parole Division at the provided address.

Your Questions, Answered

What is the purpose of the Texas RRP 120 form?

The Texas RRP 120 form, known as the Offender Representation Summary Report, is designed for individuals who represent offenders before the Board of Pardons and Paroles or the Parole Division of the Texas Department of Criminal Justice. This form ensures compliance with Texas law, specifically TEX. GOVT CODE ANN. 508.083, which mandates that representatives register and report their activities.

Who is required to file the Texas RRP 120 form?

Only individuals who are attorneys licensed to practice in Texas and who represent offenders for compensation must file the Texas RRP 120 form. This requirement applies to those who engage with the Board of Pardons and Paroles, a Parole Panel, or the Parole Division.

When is the Texas RRP 120 form due?

The form must be filed with the Parole Division by January 31 of the year following the reporting period. For instance, the report for activities conducted in 2006 was due by January 31, 2007.

What information is required on the Texas RRP 120 form?

The form requires registrant information, including the attorney's name, contact details, and bar number. Additionally, it asks for information about any former members or employees of the Board of Pardons and Paroles or the Texas Department of Criminal Justice with whom the registrant has a relationship. Lastly, it requires details about offenders represented for compensation since January 1, 2006.

How should I complete the Offender Information section?

In the Offender Information section, you must provide the name of each offender you represented for compensation, along with their SID (State Identification) number and TDCJ (Texas Department of Criminal Justice) number. This information is crucial for tracking representation and ensuring transparency.

What happens if I fail to file the Texas RRP 120 form?

Failure to file the Texas RRP 120 form by the deadline can result in penalties. These may include disciplinary actions by the Texas State Bar or other regulatory consequences. It is essential to adhere to the filing requirements to maintain compliance with state law.

Where do I submit the Texas RRP 120 form?

The completed Texas RRP 120 form should be submitted to the Texas Department of Criminal Justice - Parole Division. The mailing address is P.O. Box 13401, Austin, TX 78711. It is advisable to keep a copy of the submitted form for your records.

Can I update my information after submitting the Texas RRP 120 form?

Yes, if there are any changes to your information after submitting the Texas RRP 120 form, you should notify the Texas Department of Criminal Justice - Parole Division as soon as possible. Keeping your information current is important for compliance and communication purposes.

Is there a fee associated with filing the Texas RRP 120 form?

There is no filing fee specifically mentioned for the Texas RRP 120 form. However, registrants should refer to any applicable fee affidavits they may have filed with the Parole Division, as those documents may outline any related costs for representation.

Common mistakes

  1. Missing Deadline: One of the most common mistakes is failing to submit the Texas RRP 120 form by the deadline. The form must be filed with the Parole Division no later than January 31, 2007. Missing this date can result in complications or penalties.

  2. Incomplete Registrant Information: Providing incomplete information in the registrant section can lead to delays. Ensure that all fields, including the Texas Bar Number and full address, are filled out completely.

  3. Incorrect Contact Information: Double-check the business phone number and mailing address. An incorrect phone number can hinder communication with the Parole Division.

  4. Omitting Former Board Members: It is crucial to disclose any relationships with former members or employees of the Board of Pardons and Paroles or the Texas Board of Criminal Justice. Failing to do so may be viewed as non-compliance.

  5. Incorrect Offender Information: When providing information about the offenders represented, ensure that the SID# and PIA/TDCJ# are accurate. Errors in these numbers can complicate the processing of your form.

  6. Signature Issues: The form requires a signature. Forgetting to sign or using an illegible signature can result in the form being rejected.

  7. Neglecting to Refer to Fee Affidavit: The form advises registrants to refer to the Fee Affidavit when filling out the Summary Report. Ignoring this step can lead to inconsistencies in the reported information.

  8. Not Keeping a Copy: Failing to keep a copy of the submitted form for personal records is another common oversight. This can be important for future reference or in case of disputes.

  9. Ignoring Updates: The Texas RRP 120 form may undergo revisions. Not staying informed about changes to the form or filing requirements can lead to mistakes in future submissions.

Documents used along the form

The Texas RRP 120 form is essential for anyone representing offenders before the Board of Pardons and Paroles. However, several other documents often accompany this form to ensure compliance and facilitate the representation process. Here’s a list of these important documents, along with a brief description of each.

  • Fee Affidavit: This document details the fees charged by the attorney for representing the offender. It must be submitted alongside the RRP 120 to provide transparency regarding compensation.
  • Power of Attorney: This legal document grants the attorney the authority to act on behalf of the offender. It is crucial for ensuring that the attorney can make decisions regarding the offender’s case.
  • Notice of Representation: This form notifies the Board of Pardons and Paroles that the attorney is officially representing the offender. It helps to establish the attorney's role in the proceedings.
  • Client Agreement: This agreement outlines the terms of the attorney-client relationship, including the scope of representation and fees. It serves to protect both parties by clarifying expectations.
  • Confidentiality Agreement: This document ensures that any sensitive information shared between the offender and the attorney remains private. It is vital for maintaining trust in the attorney-client relationship.
  • Client Intake Form: This form collects essential information about the offender, including personal details and case history. It helps the attorney prepare for representation effectively.
  • Case Summary: A brief overview of the offender’s case, this document assists the attorney in understanding the specifics of the situation and formulating a strategy.
  • Communication Log: This log tracks all communications between the attorney and the offender. It is useful for maintaining clear records of interactions and decisions made throughout the representation.
  • Exhibit List: This document lists any evidence or documents that will be presented during hearings. It helps ensure that the attorney is well-prepared for any proceedings.

Having these documents organized and ready can significantly impact the effectiveness of the representation. Timely submission and accurate completion of all forms are crucial to navigating the complexities of the legal system. Ensure that all necessary paperwork is completed promptly to avoid any delays in the process.

Similar forms

The Texas RRP 120 form is an important document for individuals representing offenders before the Board of Pardons and Paroles. Several other documents share similarities with the RRP 120 form, each serving specific purposes in the legal process. Below are six documents that are comparable to the Texas RRP 120 form:

  • Fee Affidavit: This document outlines the fees charged by an attorney for representing an offender. Like the RRP 120, it must be filed with the Parole Division and is essential for transparency regarding compensation.
  • Power of Attorney: This legal document allows one person to act on behalf of another. Similar to the RRP 120, it requires proper identification of the parties involved and is crucial for formalizing representation.
  • Client Representation Agreement: This agreement establishes the terms of representation between an attorney and their client. It shares the requirement of clear communication about roles and responsibilities, much like the RRP 120.
  • Notice of Representation: This document informs relevant parties that an attorney is representing an offender. It serves a similar purpose as the RRP 120 by ensuring all stakeholders are aware of who is acting on behalf of the offender.
  • Application for Parole: This form is submitted to request parole for an offender. While it focuses on the offender's eligibility, it parallels the RRP 120 in that both require detailed information about the offender and their representation.
  • Affidavit of Eligibility: This document certifies that an offender meets specific criteria for parole. It, too, involves verification of information and is similar to the RRP 120 in its role within the parole process.

Understanding these documents can help ensure compliance with legal requirements and facilitate effective representation for offenders. Each plays a vital role in the broader context of legal proceedings related to parole and offender representation.

Dos and Don'ts

When filling out the Texas RRP 120 form, it's important to follow guidelines to ensure a smooth process. Here’s a list of things you should and shouldn’t do:

  • Do double-check all personal information for accuracy.
  • Do ensure that you are a licensed attorney in Texas.
  • Do register with the Texas Department of Criminal Justice Parole Division.
  • Do fill out the form completely, including all required sections.
  • Do submit the form by the deadline of January 31, 2007.
  • Don’t leave any sections blank unless instructed.
  • Don’t provide false information about your relationships with board members or employees.
  • Don’t forget to refer to the Fee Affidavit(s) you submitted earlier.
  • Don’t submit the form without your signature and date.

Misconceptions

Misconceptions about the Texas RRP 120 form can lead to confusion and errors in compliance. Here are nine common misunderstandings:

  1. Only attorneys can file the form. While it is true that only licensed attorneys can represent offenders for compensation, the form itself must be completed and submitted by the attorney representing the offender.
  2. The form is optional. This is incorrect. Filing the Texas RRP 120 form is a requirement for any attorney who represents an offender for compensation before the Board of Pardons and Paroles.
  3. There is no deadline for submission. In fact, the form must be filed no later than January 31 of the year following the representation period.
  4. Compensation details are not necessary. Compensation information must be included for all offenders represented since January 1, 2006. This is crucial for transparency.
  5. Only current offenders need to be reported. Attorneys must report all offenders they represented for compensation during the specified period, regardless of their current status.
  6. Previous relationships with board members do not need to be disclosed. Any former relationships with members of the Board of Pardons and Paroles or the Texas Board of Criminal Justice must be reported on the form.
  7. The form can be submitted electronically. Currently, the Texas RRP 120 form must be submitted in hard copy to the Texas Department of Criminal Justice - Parole Division.
  8. Filing the form is a one-time requirement. Attorneys must file the form annually for each year they represent offenders for compensation.
  9. There are no penalties for failing to file. Failure to submit the form can result in penalties, including potential disciplinary actions against the attorney.

Understanding these misconceptions can help ensure compliance with the requirements set forth by the Texas Department of Criminal Justice.

Key takeaways

When filling out and using the Texas RRP 120 form, consider the following key points:

  • The form is officially titled the Offender Representation Summary Report.
  • It must be submitted to the Texas Department of Criminal Justice - Parole Division.
  • Submission is required by January 31, 2007, for representation conducted since January 1, 2006.
  • Only licensed attorneys in Texas can represent offenders for compensation.
  • Registration with the Texas Department of Criminal Justice Parole Division is mandatory for those representing offenders.
  • Refer to any Fee Affidavit(s) previously filed when completing the Summary Report.
  • Provide accurate personal information, including your Texas Bar Number and contact details.
  • List any associations with former members or employees of the Board of Pardons and Paroles or the Texas Department of Criminal Justice.
  • Include information for all offenders represented for compensation, including their names and identification numbers.
  • Ensure that the form is signed and dated before submission.

By following these guidelines, you can ensure that the form is completed accurately and submitted on time.