Homepage Blank Horse Riding PDF Form
Article Guide

Horse riding is a beloved activity for many, offering a unique blend of adventure and connection with nature. However, it is essential to recognize that this enjoyable pastime comes with inherent risks. Understanding the legal framework surrounding horseback riding is crucial for both riders and parents. A key component is the Release and Waiver of Liability, which outlines the responsibilities and risks involved in riding. This document serves to inform participants about the potential dangers, such as unpredictable horse behavior and equipment failure. It emphasizes the importance of acknowledging these risks and voluntarily assuming them. Additionally, the waiver protects the stable and its employees from legal claims related to injuries or damages that may occur during riding activities. Riders are encouraged to wear protective gear, particularly helmets, to enhance safety. By signing this agreement, riders and their guardians accept the terms and conditions, ensuring that they are aware of the risks while enjoying the thrill of horseback riding.

Document Preview

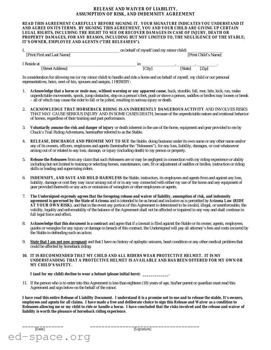
RELEASE AND WAIVER OF LIABILITY,

ASSUMPTION OF RISK, AND IMDEMNITY AGREEMENT

READ THIS AGREEMENT CAREFULLY BEFORE SIGNING IT. YOUR SIGNATURE INDICATES YOU UNDERSTAND IT AND AGREE ON ITS TERMS. BY SIGNING THIS AGREEMENT, YOU AND YOUR CHILD ARE GIVING UP CERTAIN LEGAL RIGHTS, INCLUDING THE RIGHT TO SUE OR RECOVER DAMAGES IN CASE OF INJURY, DEATH OR PROPERTY DAMAGES, FOR ANY REASON, INCLUDING BUT NOT LIMITED TO, THE NEGLIGENCE OF THE STABLE; IT’S OWNER, EMPLOYEE AND AGENTS (“THE RELEASEES”).

I, _______________________________________________ on behalf of myself (and my minor child) __________________

[Print First and Last Name][Print Child’s Name]

I Reside at ________________________________________________ in _________________, _________, __________.

[Street Address]

[City]

[State]

[Zip]

In consideration for allowing me (or my minor child) to handle and ride a horse and on behalf of myself, my child or our personal representatives, heirs, next-of-kin, spouses and assigns, I HEREBY:

1.Acknowledge that a horse or mule may, without warning or any apparent cause, buck, stumble, fall, rear, bite, kick, run, make unpredictable movements, spook, jump obstacles, step on a person’s feet, push or shove a person, saddles or bridles may loosen or break

– all of which may cause the rider to fall or be jolted, resulting in serious injury or death.

2.ACKNOWLEDGE THAT HORSEBACK RIDING IS AN INHERENTLY DANGEROUS ACTIVITY AND INVOLVES RISKS THAT MAY CAUSE SERIOUS INJURY AND IN SOME CASES DEATH, because of the unpredictable nature and irrational behavior of horses, regardless of their training and past performance.

3.Voluntarily assume the risk and danger of injury or death inherent in the use of the horse, equipment and gear provided to me by Chuck’s Trail Riding Adventures, hereinafter referred to as the Stable.

4.RELEASE, DISCHARGE AND PROMISE NOT TO SUE the Stable, doing business under its own name or any other name and/or any of its owners, officers, employees and agents (hereinafter the “Releasees”), for any loss, liability, damages, or cost whatsoever arising out of or related to any loss, damage, or injury (including death) to my person or property.

5.Release the Releasees from any claim that such Releasees are or may be negligent in connection with my riding experience or ability including but not limited to training or selecting horses, maintenance, care, fit or adjustment of saddles or bridles, instruction or riding skills or leading and supervising riders.

6.INDEMNIFY, AND SAVE AND HOLD HARMLESS the Stable, instructors, its employees and agents from and against any loss, liability, damage or cost they may incur arising out of or in any way connected with either my use of the horse and any equipment of gear provided therewith or any acts or omissions of wranglers or other employees or agents.

7.The Undersigned expressly agrees that the foregoing release and waiver of liability, assumption of risk, and indemnity agreement is governed by the State of Arizona and is intended to be as broad and inclusive as is permitted by Arizona Law (RIDE AT YOUR OWN RISK), and that in the event any portion of this Agreement is determined to be invalid, illegal, or unenforceable, the validity, legality and enforceability of the balance of the Agreement shall not be affected or impaired in any way and shall continue in full legal force and effect.

8.Acknowledge that this document is a contract and agree that if a lawsuit is filed against the Stable or its owner, agents, employees, guides or wrangles for any injury or damage in breach of this contract, the Undersigned will pay all attorney’s fees and costs incurred by the Stable in defending such an action.

9.State that I am not now pregnant and that I have no history of epileptic seizures, heart condition or any other medical problem that could be affected by horseback riding.

10.IT IS RECOMMENDED THAT MY CHILD AND ALL RIDERS WEAR PROTECTIVE HELMET. IT IS MY UNDERSTANDING THAT A PROTECTIVE HELMET IS AVAILABLE AND HAS BEEN OFFERED FOR MY OWN OR MY CHILD’S SAFETY.

I (and for my child) decline to wear a helmet (please initial here): _____________.

11.If the person who is to enter into this Agreement is less than eighteen (18) years of age, his/her parent or guardian must read this Agreement and sign below on the behalf of the minor.

I have read this entire Release of Liability Document. I understand it is a promise not to sue and to release the stable, It’s owners, employees and agents for all claims. I have made a free and deliberate choice to sign this Release and Waiver as a condition to Releasees allowing me or my child to ride or handle a horse. I have concluded that the risks involved and the release and waiver of liability is worth the pleasure of horseback riding experience.

______________ _____________________________________

[Date]

[Signature]

Form Specifications

Fact Name Description
Assumption of Risk Participants acknowledge that horseback riding is inherently dangerous and involves risks that may lead to serious injury or death.
Release of Liability By signing the agreement, participants agree not to sue the stable or its employees for any injuries or damages incurred during the riding experience.
Indemnity Clause Participants agree to indemnify the stable and its employees against any claims arising from their use of horses or equipment.
Governing Law This agreement is governed by the laws of the State of Arizona, ensuring it is as broad and inclusive as allowed by state law.
Helmet Recommendation It is recommended that all riders, including minors, wear a protective helmet for safety, which is provided by the stable.

Horse Riding: Usage Guidelines

Completing the Horse Riding form is essential before participating in any riding activities. Follow these steps carefully to ensure that all necessary information is provided accurately.

  1. Print your full name in the first blank line.
  2. Print your child’s name in the second blank line.
  3. Fill in your complete street address, including city, state, and zip code.
  4. Read the entire form thoroughly to understand the terms and conditions.
  5. Initial next to the statement regarding wearing a protective helmet, if you choose to decline the helmet offer.
  6. If the rider is under 18, ensure a parent or guardian reads and signs the form on their behalf.
  7. Sign and date the form at the bottom.

Your Questions, Answered

What is the purpose of the Horse Riding form?

The Horse Riding form serves as a Release and Waiver of Liability, Assumption of Risk, and Indemnity Agreement. By signing this form, participants acknowledge the inherent risks associated with horseback riding. It protects the stable and its employees from legal claims in the event of injury, death, or property damage while engaging in this activity. This agreement is crucial for ensuring that all riders understand the potential dangers and voluntarily accept them.

What risks are involved in horseback riding?

Horseback riding carries several risks. Horses can behave unpredictably, leading to potential accidents. They may buck, rear, kick, or stumble, which could result in falls or injuries. Even well-trained horses can act irrationally. Participants must recognize that these risks are inherent to the sport, and serious injuries or fatalities can occur, regardless of experience level.

Can I sue the stable if something goes wrong?

By signing the form, you agree not to sue the stable or its employees for any injuries or damages incurred during horseback riding. This waiver includes any claims of negligence related to horse selection, equipment maintenance, or instruction. It is essential to understand that signing this form means you are relinquishing certain legal rights to pursue a lawsuit.

What should I do if my child is under 18?

If your child is under 18, you, as their parent or guardian, must read the agreement and sign it on their behalf. This ensures that you fully understand the risks involved and agree to the terms of the waiver. It is your responsibility to ensure that your child is aware of the dangers and consents to participate in horseback riding activities.

Is wearing a helmet mandatory?

Common mistakes

  1. Incomplete Information: Many individuals fail to fill out all required fields, such as names, addresses, or signatures. Missing information can delay processing or render the form invalid.

  2. Incorrect Age Verification: Parents or guardians may neglect to verify the age of the minor rider. If the form is not signed by a parent or guardian for those under eighteen, it could lead to legal complications.

  3. Failure to Acknowledge Risks: Some riders do not fully acknowledge the inherent risks associated with horseback riding. This can be evidenced by not reading or understanding the risk statements before signing.

  4. Helmet Declaration Issues: Riders may incorrectly initial the section regarding helmet usage. If they decline to wear a helmet without understanding the safety implications, it can lead to potential liability issues in case of an accident.

Documents used along the form

In addition to the Horse Riding form, several other documents may be required to ensure the safety and understanding of all participants involved in horseback riding activities. Each of these documents serves a specific purpose and helps protect both the riders and the stable. Below is a list of these forms and a brief description of each.

  • Medical Release Form: This document provides the stable with important medical information about the rider. It allows the stable to act quickly in case of an emergency, ensuring that appropriate medical care can be administered if needed.
  • Minor Release Form: When a rider is under 18, this form must be signed by a parent or guardian. It confirms that the adult understands the risks and agrees to the terms of the Horse Riding form on behalf of the minor.
  • Emergency Contact Form: This form lists individuals who can be contacted in case of an emergency. It is crucial for ensuring that someone can be reached quickly if an incident occurs during the riding experience.
  • Horse Riding Agreement: This document outlines the specific terms and conditions of the riding experience. It may include details about the horse being ridden, any specific rules to follow, and the responsibilities of both the rider and the stable.
  • Safety Guidelines Document: This document provides riders with essential safety information. It outlines best practices for riding, handling horses, and using equipment to minimize the risk of injury.
  • Insurance Waiver: This form clarifies the insurance coverage provided by the stable and any limitations. It ensures that riders understand their own insurance responsibilities while participating in horseback riding activities.
  • Photo Release Form: This document allows the stable to use photographs taken during riding sessions for promotional purposes. Riders can choose to opt-in or out, ensuring their preferences regarding image use are respected.

Each of these documents plays a vital role in creating a safe and informed environment for horseback riding. It is important for participants to read and understand all forms before signing, as they outline the rights and responsibilities of everyone involved.

Similar forms

The Horse Riding form shares similarities with several other legal documents that address liability, risk, and consent. Below is a list of nine such documents, each highlighting how they relate to the Horse Riding form.

  • Waiver of Liability Form: This document releases one party from liability for injuries or damages caused during an activity, similar to how the Horse Riding form protects the stable from legal claims arising from horseback riding.
  • Informed Consent Form: Often used in medical or recreational settings, this form ensures that participants understand the risks involved in an activity, much like the Horse Riding form emphasizes the inherent dangers of horseback riding.
  • Assumption of Risk Agreement: This document explicitly states that participants accept the risks associated with an activity. The Horse Riding form includes a section where riders acknowledge the risks of riding horses.
  • Indemnity Agreement: This type of agreement requires one party to compensate another for certain damages or losses. The Horse Riding form includes an indemnity clause, protecting the stable from claims related to the rider's actions.
  • Release and Hold Harmless Agreement: Similar to the Horse Riding form, this document releases one party from responsibility for injuries sustained during an activity, emphasizing that the participant cannot sue for damages.
  • Parental Consent Form: Used when minors participate in activities, this form ensures that a parent or guardian agrees to the terms and acknowledges the risks, akin to the requirement in the Horse Riding form for a guardian's signature.
  • Safety Agreement: This document outlines safety protocols and expectations for participants. The Horse Riding form recommends wearing helmets, reflecting a commitment to safety.
  • Adventure Activity Waiver: Common in outdoor sports, this waiver outlines the risks associated with adventure activities, similar to the Horse Riding form's detailed description of the dangers of horseback riding.
  • Sports Participation Agreement: This agreement often includes risk acknowledgment and liability waivers for participants in sports activities, paralleling the Horse Riding form's focus on the risks of riding horses.

Dos and Don'ts

When filling out the Horse Riding form, it's important to follow certain guidelines to ensure everything is done correctly. Here are four things you should and shouldn't do:

  • Do: Read the entire form carefully before signing. Understanding the terms is crucial.
  • Do: Provide accurate information, including your name and address, as well as your child's details if applicable.
  • Don't: Rush through the form. Take your time to ensure all sections are completed properly.
  • Don't: Ignore the safety recommendations, such as wearing a protective helmet.

Following these simple steps can help avoid misunderstandings and ensure a safer riding experience for everyone involved.

Misconceptions

Here are eight common misconceptions about the Horse Riding form:

  • Signing means I can't sue for any reason. Many believe that signing the waiver eliminates all rights to sue. However, you can still pursue legal action if the injury results from gross negligence or intentional harm.
  • All horseback riding is equally dangerous. While horseback riding carries risks, the level of danger varies based on the horse's training, the rider's experience, and the riding environment.
  • The waiver is just a formality. Some think the waiver doesn't hold real weight. In fact, it is a legal document that outlines your acceptance of risks and can significantly affect your ability to claim damages.
  • I can ignore safety gear recommendations. Many riders underestimate the importance of safety gear. Wearing protective helmets and other gear can significantly reduce the risk of serious injury.
  • Only inexperienced riders need to worry about risks. Even experienced riders face risks. Horses can behave unpredictably, regardless of the rider's skill level.
  • My child is safe just because I signed the waiver. Signing for your child does not guarantee their safety. Parents should ensure their children understand the risks involved in horseback riding.
  • The stable is always liable for accidents. Some assume that stables are automatically responsible for any injuries. The waiver often limits their liability for injuries that occur during normal riding activities.
  • I can change my mind after signing. Once you sign the waiver, it is legally binding. It’s important to fully understand the terms before signing, as it may be difficult to revoke your agreement later.

Key takeaways

When filling out and using the Horse Riding form, consider the following key takeaways:

  • Read Carefully: Understand all terms before signing the agreement.
  • Legal Rights: By signing, you waive certain legal rights, including the right to sue for injuries.
  • Inherent Risks: Horseback riding is inherently dangerous and involves risks that can lead to serious injury or death.
  • Assumption of Risk: You voluntarily accept the risks associated with riding and handling horses.
  • Release of Liability: You agree not to hold the stable or its employees responsible for any injuries or damages.
  • Indemnity Clause: You agree to cover any costs the stable incurs due to claims related to your riding experience.
  • Governing Law: The agreement is governed by Arizona law, and its validity remains intact even if part is deemed unenforceable.
  • Medical History: Disclose any medical conditions that may affect your ability to ride safely.
  • Helmet Recommendation: Wearing a protective helmet is recommended for safety; it is provided by the stable.
  • Minor Riders: If signing for a minor, a parent or guardian must also sign the agreement.

These points are crucial for ensuring a safe and informed horseback riding experience.