Homepage Blank Articles Of Dissolution PDF Form
Article Guide

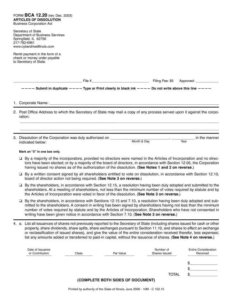
The Articles of Dissolution form is a crucial document for any business corporation looking to formally end its existence in Illinois. This form, designated as FORM BCA 12.20, must be filed with the Secretary of State's Department of Business Services. It requires clear and accurate information, including the corporation's name, mailing address for legal documents, and the manner in which dissolution was authorized. Corporations can dissolve through various methods, such as a majority vote by incorporators or directors, or by written consent from shareholders. The form also demands details about any shares issued or canceled, along with their associated values. A filing fee of $5 is required, and the form must be submitted in duplicate. Proper completion ensures that all necessary legal requirements are met, allowing for a smooth dissolution process. Understanding these components is essential for any corporation considering this significant step.

Document Preview

Form Specifications

Fact Name Description
Form Title This form is officially titled "Articles of Dissolution" and is identified as FORM BCA 12.20.
Governing Law The form is governed by the Business Corporation Act of Illinois.
Filing Fee The fee for filing the Articles of Dissolution is $5, payable by check or money order to the Secretary of State.
Submission Requirement Applicants must submit the form in duplicate to ensure proper processing.
Signature Requirement The form must be signed by an authorized officer of the corporation, affirming the accuracy of the information provided.
Shareholder Authorization Dissolution can be authorized by shareholders through unanimous written consent or by a vote at a shareholders meeting.
Notice Requirement Shareholders must receive notice of the proposed dissolution at least five days before signing any consent if it is less than unanimous.

Articles Of Dissolution: Usage Guidelines

Filling out the Articles of Dissolution form is an important step in officially closing your corporation. After you complete the form, you will need to submit it along with the required filing fee to the Secretary of State. Make sure to keep a copy for your records.

  1. Obtain the Form: Download the Articles of Dissolution form from the Secretary of State's website or request a physical copy.
  2. Corporate Name: Clearly print the full legal name of your corporation in the designated space.
  3. Mailing Address: Provide the post office address where the Secretary of State can send any legal documents related to the dissolution.
  4. Authorization of Dissolution: Indicate how the dissolution was authorized by marking an “X” in one box. Ensure you choose only one option:
    • By a majority of the incorporators.
    • By a written consent signed by all shareholders.
    • By a resolution adopted at a shareholders meeting.
    • By a written consent of shareholders with notice given to those who did not consent.
  5. Issuances of Shares: List all shares issued that have not been reported, including the date of issuance, class, par value, number of shares, and total consideration received.
  6. Cancellations of Shares: Provide details of any shares cancelled that have not been reported, including the date of cancellation, class, number of shares cancelled, and total cost.
  7. Issued Shares: Fill in the class, series, par value, and number of issued shares as of the date of execution.
  8. Paid-in Capital: Enter the amount of paid-in capital as of the date of execution.
  9. Authorized Officer’s Signature: Have an authorized officer sign the form, affirming the accuracy of the information provided. Include their name and title printed clearly.
  10. Additional Signatures: If applicable, ensure that the signatures of a majority of incorporators or directors are included below the officer's signature.
  11. Payment: Prepare a check or money order for the filing fee of $5, made payable to the Secretary of State.
  12. Submit the Form: Send the completed form in duplicate, along with payment, to the Secretary of State's office.

Your Questions, Answered

What is the Articles of Dissolution form?

The Articles of Dissolution form is a legal document used by corporations to formally dissolve their business entity. This form is filed with the Secretary of State in Illinois and serves to notify the state that the corporation has ceased operations. It ensures that the corporation is officially recognized as dissolved and that its legal obligations are concluded.

How do I file the Articles of Dissolution?

To file the Articles of Dissolution, you need to complete the form accurately. First, provide the corporate name and the address where the Secretary of State can send any legal documents. Next, indicate how the dissolution was authorized, whether by the board of directors, shareholders, or incorporators. After filling out the necessary information, submit the form in duplicate along with a filing fee of $5, payable by check or money order to the Secretary of State.

What are the requirements for dissolution?

The requirements for dissolving a corporation vary based on how the corporation was structured. If no shares have been issued and no directors have been elected, the incorporators can authorize the dissolution. If shares have been issued, a majority of the board of directors or shareholders must approve the dissolution. Depending on the Articles of Incorporation, different voting thresholds may apply, so it’s essential to review those documents.

What happens to the corporation's assets after dissolution?

Upon dissolution, the corporation's assets must be distributed according to state law and the corporation's governing documents. Generally, any remaining assets after settling debts and obligations are distributed to shareholders. It’s crucial to ensure all financial obligations are met before distributing assets to avoid potential legal issues.

Can I dissolve my corporation if it has outstanding debts?

Yes, a corporation can still dissolve even if it has outstanding debts. However, it must first settle these debts or make arrangements with creditors. Dissolving a corporation does not absolve it of its financial responsibilities. Failure to address outstanding debts may lead to personal liability for the directors or shareholders in some cases.

How long does it take for the dissolution to be processed?

The processing time for the Articles of Dissolution can vary. Once submitted, the Secretary of State's office typically processes filings within a few weeks. However, delays can occur, especially if there are issues with the submitted form or if additional documentation is required. It is advisable to check the status of your filing if you do not receive confirmation within a reasonable time frame.

Common mistakes

  1. Inaccurate Corporate Name: Entering the wrong corporate name can lead to processing delays. Ensure the name matches exactly as registered with the Secretary of State.

  2. Improper Authorization Method: Selecting the incorrect method of authorization for dissolution can invalidate the form. It is crucial to mark the appropriate box based on how the dissolution was approved.

  3. Missing Share Issuance Information: Failing to list all share issuances not previously reported can result in incomplete filings. This includes shares issued for cash, property, or dividends.

  4. Omitting Signatures: Not including the necessary signatures from authorized officers or directors can lead to rejection. All required signatures must be present for the form to be valid.

  5. Incorrect Payment Method: Submitting payment in an incorrect form, such as cash instead of a check or money order, can delay processing. Payments must be made to the Secretary of State as specified.

Documents used along the form

When a corporation decides to dissolve, several important documents often accompany the Articles of Dissolution. Each of these forms plays a crucial role in ensuring that the dissolution process is completed properly and in compliance with state regulations. Below is a list of commonly used documents that you may need to prepare alongside the Articles of Dissolution.

  • Certificate of Good Standing: This document verifies that the corporation has complied with all state requirements up to the point of dissolution. It confirms that the business is in good standing and has no outstanding debts or obligations.
  • Final Tax Returns: Corporations must file final tax returns with both state and federal tax authorities. These returns ensure that all tax liabilities are settled before the business is officially dissolved.
  • Shareholder Consent Form: If the dissolution is authorized by the shareholders, this form captures their consent. It is essential for documenting the approval process and demonstrating that the decision was made in accordance with corporate governance rules.
  • Asset Distribution Plan: This plan outlines how the corporation's assets will be distributed among shareholders and creditors. It is important for ensuring that all parties receive their fair share according to legal requirements.
  • Notification of Dissolution: This document serves to inform creditors, clients, and other stakeholders about the corporation's dissolution. Proper notification is necessary to maintain transparency and prevent potential disputes.
  • Articles of Incorporation: While not always required, having a copy of the original Articles of Incorporation can be helpful. It provides a reference point for the corporation’s initial structure and any amendments made over time.

Completing these documents carefully can help ensure a smooth dissolution process. Each form plays a vital role in protecting the interests of shareholders, creditors, and the corporation itself. Taking the time to prepare these documents correctly can prevent potential complications in the future.

Similar forms

The Articles of Dissolution form serves a specific purpose in the process of dissolving a corporation. However, it shares similarities with several other important documents. Here are four documents that are comparable to the Articles of Dissolution:

  • Articles of Incorporation: This document establishes a corporation's existence and outlines its basic structure. Just as the Articles of Dissolution formally end a corporation, the Articles of Incorporation initiate its formation. Both documents require specific information about the corporation and must be filed with the state.
  • Certificate of Good Standing: This certificate confirms that a corporation is compliant with state regulations and is authorized to conduct business. Similar to the Articles of Dissolution, it is an official document issued by the state. While the Articles of Dissolution signify the end of a corporation, the Certificate of Good Standing indicates that a corporation is in good standing before it dissolves.
  • Bylaws: Bylaws govern the internal operations of a corporation, detailing how it is managed. Both the Bylaws and the Articles of Dissolution are essential for a corporation's functioning. The Bylaws provide the rules for operation, while the Articles of Dissolution outline the formal process for ceasing operations.
  • Notice of Dissolution: This document informs stakeholders, such as creditors and employees, that a corporation is dissolving. Like the Articles of Dissolution, the Notice of Dissolution serves to communicate important information regarding the corporation's status. Both documents are part of the dissolution process and ensure transparency with those affected by the corporation's closure.

Dos and Don'ts

When filling out the Articles of Dissolution form, there are several important considerations to keep in mind. Here are four things you should do and four things you should avoid.

  • Do: Type or print clearly in black ink to ensure readability.
  • Do: Submit the form in duplicate as required.
  • Do: Ensure that all required signatures are obtained from the appropriate parties.
  • Do: Double-check all information for accuracy before submitting the form.
  • Don't: Write above the designated line on the form.
  • Don't: Leave any sections blank that are required for completion.
  • Don't: Forget to remit the appropriate filing fee with your submission.
  • Don't: Submit the form without ensuring that all necessary authorizations have been obtained.

Misconceptions

  • Misconception 1: The Articles of Dissolution can be filed at any time.

    Many people believe that they can file the Articles of Dissolution whenever they choose. In reality, this form can only be submitted after proper authorization has been obtained from either the incorporators or the shareholders. If shares have been issued, the process becomes more complex and specific voting thresholds must be met.

  • Misconception 2: All shareholders must agree to dissolve the corporation.

    While it is true that shareholder approval is often necessary, it is not always required to be unanimous. Depending on the corporation's Articles of Incorporation and state laws, a two-thirds majority may suffice. This can sometimes lead to confusion about what level of consent is actually needed.

  • Misconception 3: The Articles of Dissolution are the only requirement for dissolving a corporation.

    Filing the Articles of Dissolution is just one step in the process. Corporations must also address any outstanding debts, notify creditors, and ensure that all franchise taxes and penalties are paid before the dissolution can be finalized. Neglecting these steps can lead to complications.

  • Misconception 4: The dissolution process is quick and straightforward.

    Many assume that once the Articles of Dissolution are filed, the process is complete. However, it can take time for the state to process the filing. Additionally, if there are any issues with the corporation’s finances or outstanding obligations, the process may be delayed further.

Key takeaways

Filling out the Articles of Dissolution form is an important step in officially closing a corporation. Here are key takeaways to consider:

  • The form is known as FORM BCA 12.20 and is specific to Illinois.
  • It must be submitted in duplicate to the Secretary of State.
  • Clearly type or print the information in black ink to ensure legibility.
  • The filing fee is $5, payable by check or money order to the Secretary of State.
  • Provide the corporate name and the address for receiving legal documents.
  • Dissolution must be authorized by either the incorporators, board of directors, or shareholders, depending on the circumstances.
  • Shareholder approval can be obtained through unanimous written consent or by a vote at a meeting.
  • All issuances and cancellations of shares must be reported accurately on the form.
  • Ensure that all required signatures from authorized officers are included on the document.
  • Before filing, verify that all franchise taxes and fees are paid to avoid rejection of the filing.

Completing this form correctly is crucial for a smooth dissolution process. Attention to detail can prevent delays or complications.