Homepage Blank Affirmative Action Plan PDF Form
Article Guide

The Affirmative Action Plan form plays a crucial role in promoting equal employment opportunities within organizations. This document outlines a company's commitment to ensuring that all applicants and employees are treated fairly, regardless of their race, color, religion, sex, national origin, or disability. It includes essential components such as the company name, address, and contact information, as well as a detailed Affirmative Action Policy Statement. This statement emphasizes the company's dedication to implementing various employment practices, including recruitment, hiring, promotions, and compensation, in a non-discriminatory manner. Furthermore, the form highlights the legal framework that guides these efforts, referencing significant laws and regulations like the Civil Rights Act of 1964 and the Americans with Disabilities Act. The plan also assigns responsibilities to specific individuals within the organization, ensuring that there is accountability for monitoring and enforcing the affirmative action policies. By maintaining thorough records and conducting regular audits, the company demonstrates its commitment to transparency and compliance. This proactive approach not only fosters an inclusive workplace but also positions the company favorably when seeking contracts with government agencies and other organizations that prioritize equal opportunity initiatives.

Document Preview

Form Specifications

Fact Name Description
Company Information The form requires basic company details, including name, address, and contact information.
Affirmative Action Policy This policy ensures that employment decisions are made without discrimination based on race, color, religion, sex, national origin, or disability.
Governing Laws Key laws include the Civil Rights Act of 1964 and the Americans with Disabilities Act of 1990, among others.
EEO Officer Role The form designates an Equal Employment Opportunity Officer responsible for monitoring compliance with the affirmative action policy.
Documentation Requirements Companies must maintain records of recruitment efforts, advertisements, and other actions taken to support affirmative action.
Employee Training All new supervisory staff must receive training on the company's equal employment opportunity obligations within 30 days of hiring.
Periodic Reviews The company is required to conduct regular evaluations of employment practices to identify and correct any discriminatory actions.
Recruitment Strategies Firms must actively seek referrals from minority and female organizations to enhance diversity in hiring.
Maternity Leave Policy The form outlines a maternity leave policy that complies with state regulations regarding pregnancy-related disabilities.
Compliance Consequences Failure to implement the affirmative action plan may result in a requirement to adopt a more stringent program before contract approval.

Affirmative Action Plan: Usage Guidelines

Completing the Affirmative Action Plan form is a crucial step in ensuring compliance with equal employment opportunity policies. The following steps outline the process for accurately filling out the form, ensuring that all necessary information is captured effectively.

  1. Company Name: Enter the full legal name of your company.
  2. Address: Provide the complete street address of the company.
  3. City/State/Zip: Fill in the city, state, and zip code associated with the company address.
  4. Area Code/Phone Number: Input the area code followed by the phone number for the company.
  5. Area Code/Fax Number: Enter the area code and fax number, if applicable.
  6. Contact Person: Specify the name of the individual designated as the contact for this plan.
  7. Affirmative Action Policy Statement: Review and ensure that the policy statement accurately reflects the company’s commitment to equal opportunity without discrimination. Sign and date this section.
  8. Assignment of Responsibilities: Designate an Equal Employment Opportunity Officer. Include their name and title in the appropriate section.
  9. EEO Officer Signature: The appointed EEO Officer must sign and date the form, acknowledging their responsibilities.
  10. CEO/President/Owner Signature: The Chief Executive Officer or equivalent must sign and date the form, confirming support for the Affirmative Action Plan.

Once the form is completed, it should be submitted to the relevant contracting agency or department as required. This submission is a vital part of demonstrating the company’s commitment to affirmative action and compliance with applicable laws and regulations.

Your Questions, Answered

What is the purpose of the Affirmative Action Plan form?

The Affirmative Action Plan form is designed to outline a company's commitment to providing equal employment opportunities to all individuals. It ensures that the company actively works to prevent discrimination based on race, color, religion, sex, national origin, or disability in all employment practices, including hiring, promotions, and training. This plan is essential for compliance with various federal and state laws regarding equal employment opportunities.

Who is responsible for implementing the Affirmative Action Plan?

The Chief Executive Officer (CEO) holds the ultimate responsibility for the Affirmative Action Program. However, the day-to-day management and coordination of the program are typically handled by the designated Equal Employment Opportunity Officer. This officer is tasked with ensuring that the policies are effectively implemented and that all staff are aware of their responsibilities regarding equal employment opportunities.

What actions does the company take to promote equal employment opportunities?

The company takes several proactive steps to promote equal employment opportunities. This includes conducting outreach to minority and female organizations, placing advertisements that emphasize the company's commitment to being an Affirmative Action/Equal Opportunity Employer, and maintaining documentation of recruitment efforts. Regular audits and evaluations are also conducted to ensure compliance and identify any discriminatory practices.

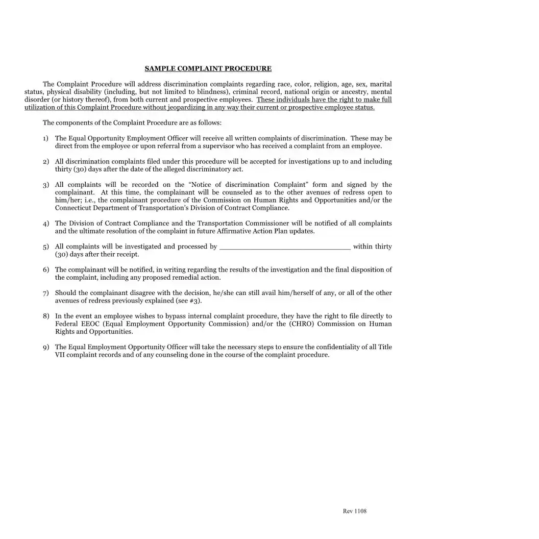
How does the company handle complaints of discrimination?

All complaints of alleged discrimination are promptly investigated by the company. This process ensures that any issues are addressed in a timely manner and that appropriate corrective actions are taken if necessary. The company is committed to creating a fair work environment and takes all complaints seriously.

What is the role of the Equal Employment Opportunity Officer?

The Equal Employment Opportunity Officer plays a crucial role in overseeing the implementation of the Affirmative Action Plan. This officer conducts training sessions for new supervisors, maintains communication with recruitment sources, and ensures that the company's equal employment opportunity policies are effectively communicated to all employees. Their responsibilities also include monitoring the progress of the affirmative action plan and addressing any compliance issues that arise.

What types of documentation does the company maintain to support its affirmative action efforts?

The company maintains a variety of documentation to support its affirmative action efforts. This includes records of recruitment activities, correspondence with referral sources, and copies of advertisements. These documents are essential for demonstrating the company's commitment to equal opportunity and for compliance with legal requirements.

How often are meetings held to discuss the Affirmative Action Plan?

Meetings to review the Affirmative Action Plan are held periodically, with a minimum frequency of once every six months. These meetings involve supervisory and personnel office employees and are conducted by the Equal Employment Opportunity Officer or another knowledgeable company official. The purpose is to ensure that everyone understands the policy and its implementation.

What happens if the company fails to comply with the Affirmative Action Plan?

If the company fails to effectively implement or document its affirmative action efforts, it may be required to modify its plan to meet more stringent requirements. Non-compliance can affect the company's ability to perform services for contracting agencies, making adherence to the plan critical for continued operations.

Are there specific recruitment sources the company targets for hiring minority and female employees?

Yes, the company actively seeks to recruit from specific sources that are likely to yield qualified minority and female candidates. This includes state employment agencies, schools, colleges, and organizations that serve members of protected groups. Establishing relationships with these sources is a key part of the company's affirmative action strategy.

How does the company ensure that all employees are aware of the Affirmative Action Plan?

The company ensures that all employees are informed about the Affirmative Action Plan through various means, including meetings, employee handbooks, and posted notices in accessible areas. This multi-faceted approach helps to raise awareness and encourages compliance with the plan's objectives.

Common mistakes

  1. Incomplete Information: Failing to fill out all required fields, such as company name, address, and contact person, can lead to delays or rejection of the plan.

  2. Incorrect Policy Statement: Not accurately reflecting the company’s affirmative action policy can undermine the plan’s credibility.

  3. Missing Signatures: Omitting the signature of the Chief Executive Officer or other required officials may invalidate the plan.

  4. Failure to Document Efforts: Not maintaining records of recruitment efforts and outreach to minority and female organizations can weaken compliance.

  5. Ignoring State and Federal Laws: Not aligning the plan with relevant laws and regulations can expose the company to legal risks.

  6. Lack of Training: Failing to provide adequate training for staff involved in hiring can result in unintentional bias in recruitment.

  7. Inadequate Monitoring: Not implementing procedures for regular review and monitoring of the affirmative action plan can hinder progress.

  8. Neglecting Employee Communication: Not informing employees about the affirmative action policy and their role in it can lead to disengagement.

  9. Overlooking Union Agreements: Ignoring existing union agreements that may affect hiring practices can lead to conflicts and compliance issues.

  10. Failure to Evaluate Outcomes: Not regularly assessing the effectiveness of the affirmative action plan can prevent necessary adjustments and improvements.

Documents used along the form

When creating an Affirmative Action Plan, several other forms and documents may be necessary to support compliance and ensure effective implementation. These documents help clarify responsibilities, outline policies, and provide necessary information for monitoring and evaluation. Below is a list of commonly used forms alongside the Affirmative Action Plan.

  • Equal Employment Opportunity (EEO) Policy Statement: This document outlines the company’s commitment to providing equal employment opportunities to all employees and applicants. It typically includes a summary of the company’s non-discrimination policies and the processes for addressing complaints.
  • Job Description Templates: These templates detail the responsibilities, qualifications, and requirements for each position within the organization. Clear job descriptions help ensure that hiring practices are consistent and aligned with the Affirmative Action Plan.
  • Diversity Recruitment Plan: This plan outlines strategies for attracting a diverse pool of candidates. It may include specific outreach efforts, partnerships with community organizations, and targeted advertising to ensure a broad range of applicants.
  • Training and Development Programs: Documentation of training programs aimed at promoting diversity and inclusion within the workplace. This may include training for hiring managers on unconscious bias or workshops on cultural competency.
  • Employee Complaint Procedure: A clear procedure for employees to report discrimination or harassment. This document should outline the steps employees can take to file a complaint and how the company will respond.
  • Monitoring and Evaluation Reports: These reports track the effectiveness of the Affirmative Action Plan and EEO policies. They include data on hiring practices, employee demographics, and outcomes of diversity initiatives.

Utilizing these forms and documents in conjunction with the Affirmative Action Plan can help create a comprehensive approach to promoting equality and diversity in the workplace. It’s essential to ensure that all employees understand these policies and their importance in fostering an inclusive environment.

Similar forms

  • Equal Employment Opportunity (EEO) Policy: Similar to the Affirmative Action Plan, an EEO policy outlines a company's commitment to preventing discrimination based on race, gender, religion, and other protected categories. Both documents emphasize the importance of equal treatment in hiring and employment practices.
  • Diversity and Inclusion Policy: This document focuses on creating a diverse workplace and fostering an inclusive environment. Like the Affirmative Action Plan, it aims to promote equal opportunities for all employees and applicants, while also detailing strategies to recruit and retain diverse talent.
  • Employee Handbook: An employee handbook often includes policies related to equal employment opportunities and affirmative action. It serves as a comprehensive guide for employees about their rights and responsibilities, similar to how the Affirmative Action Plan communicates the company's commitment to fair employment practices.
  • Compliance Report: This document assesses a company's adherence to various employment laws and regulations, including those related to affirmative action. It shares a common goal with the Affirmative Action Plan of ensuring that the company meets legal requirements and maintains accountability in its hiring practices.

Dos and Don'ts

When filling out the Affirmative Action Plan form, it is crucial to approach the task with care and attention to detail. Here are six guidelines to consider:

  • Do: Ensure that all sections of the form are completed accurately. Missing information can delay the approval process.
  • Do: Clearly state the company’s commitment to equal opportunity in the Affirmative Action Policy Statement. This sets the tone for the entire plan.
  • Do: Maintain documentation of all recruitment efforts. This includes correspondence with referral sources and copies of advertisements.
  • Don't: Use vague language. Specificity in your statements about hiring practices and policies is essential for clarity.
  • Don't: Neglect to assign responsibilities. Clearly designate an Equal Employment Opportunity Officer to oversee the implementation of the plan.
  • Don't: Forget to review the form for compliance with applicable federal and state laws. This is critical to avoid legal repercussions.

By following these guidelines, organizations can ensure that their Affirmative Action Plan is not only compliant but also effective in promoting equal opportunity within the workplace.

Misconceptions

  • Misconception 1: Affirmative Action is only about hiring minorities.
  • Many people believe that affirmative action focuses solely on hiring individuals from minority groups. In reality, it encompasses a broader commitment to ensuring equal opportunities for all applicants and employees, regardless of race, gender, religion, or disability. The aim is to create a fair workplace where everyone has the chance to succeed.

  • Misconception 2: Affirmative Action guarantees job placements.
  • Another common misconception is that affirmative action guarantees employment for certain individuals. The truth is that affirmative action does not ensure job placement; rather, it requires employers to actively seek out and consider a diverse pool of candidates. Selection is still based on qualifications and merit.

  • Misconception 3: Affirmative Action is no longer necessary.
  • Some believe that affirmative action is outdated and no longer needed due to progress in equality. However, disparities in employment and treatment still exist in many workplaces. Affirmative action remains a vital tool for addressing these inequalities and promoting a diverse workforce.

  • Misconception 4: Implementing an Affirmative Action Plan is overly burdensome.
  • Many assume that creating and maintaining an affirmative action plan is a complicated and burdensome process. While it does require commitment and effort, the benefits of fostering an inclusive workplace often outweigh the challenges. Furthermore, many resources and guidelines are available to assist companies in developing effective plans.

Key takeaways

Filling out and using the Affirmative Action Plan form is a crucial step in promoting equal opportunity within the workplace. Here are key takeaways to consider:

  • Understand the Policy Statement: Familiarize yourself with the firm's commitment to equal employment opportunities, which prohibits discrimination based on race, color, religion, sex, national origin, or disability.
  • Designate an EEO Officer: Appoint a responsible official to oversee the implementation of the affirmative action plan and ensure compliance with the firm's equal employment opportunity policy.
  • Document Efforts: Maintain thorough documentation of all recruitment efforts, including advertisements and referral requests, to demonstrate good faith in achieving affirmative action goals.
  • Conduct Training: Regularly train managers and employees on the affirmative action policy to ensure everyone understands their responsibilities in promoting equal opportunity.
  • Monitor Progress: Implement a system for tracking the effectiveness of the affirmative action plan and make adjustments as necessary to improve outcomes.
  • Engage with Community Resources: Establish connections with minority and female organizations to enhance recruitment efforts and ensure a diverse applicant pool.